EAU18∣新辅助化疗联合内分泌治疗有望提高局部晚期极高危前列腺癌的治疗效果

作者:肿瘤瞭望   日期:2018/3/27 11:54:19  浏览量:33659

肿瘤瞭望版权所有,谢绝任何形式转载,侵犯版权者必予法律追究。

前列腺癌是欧美发达国家最常见的恶性肿瘤,也是中国男性泌尿系统最常见的恶性肿瘤。虽然我国的前列腺癌发病率与欧美国家相比还相对较低,但我国的新发病例中仅40%为临床局限性前列腺癌,其余均为局部晚期或远处转移病例。根据NCCN前列腺癌诊治指南定义,临床分期≥T3b期、影像学评估没有淋巴结和远处转移的患者为局部晚期极高危前列腺癌,目前国际上普遍认为此类患者不具备根治性手术的条件,治疗非常棘手。

复旦大学附属肿瘤医院叶定伟教授团队开展了针对局部晚期极高危前列腺癌患者的MDT综合治疗随机对照临床研究,包括手术前的新辅助内分泌治疗联合化疗,根治性前列腺切除术,以及术后的辅助放疗和内分泌治疗,在此次EAU18会议上公布了研究的重要初步结果,研究题目为“Neoadjuvant docetaxel plus goserelin in patients with very-high risk, locally advanced prostate cancer: Initial results from a randomized study”(Abstract ID Number:AM18-1923)。
 
研究入组局部晚期极高危前列腺癌患者30例;临床分期≥T3b期,影像学评估没有淋巴结和远处转移;1:1随机分组至研究组和对照组。研究组患者在前列腺癌根治术前先接受多西他赛75mg/m2每21天注射共4周期,联合戈舍瑞林3.6mg每28天注射共3周期。对照组患者在前列腺癌根治术前不接受药物治疗。研究终点为术前新辅助治疗的客观反应率和1年无生化复发率,同时评估两组患者在手术切缘阳性率、肿瘤负荷、精囊腺侵犯、区域淋巴结转移等客观病理指标上的差异。
 
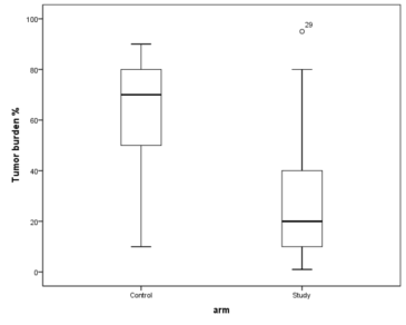
研究结果显示,接受新辅助化疗联合内分泌治疗的患者中14例达到部分缓解(PR),1例疾病稳定(SD),所有患者的PSA均下降超过90%(图1)。新辅助化疗联合内分泌治疗的最主要毒副作用为中性粒细胞下降、乏力、脱发。与对照组相比,研究组患者在Gleason评分、肿瘤负荷和精囊腺侵犯方面均有改善,其中肿瘤负荷从70%下降至20%(图2),精囊腺侵犯率从100%下降至66%(图3)。1年无生化复发率两组分别为11/15和8/15,也有下降趋势。两组在手术治疗并发症方面没有显著性差异。
 
图1
 
图2
 
图3 
 
该研究初步结果提示:对于局部晚期极高危前列腺癌患者进行术前新辅助化疗联合内分泌治疗是安全可行的;治疗客观有效率达到93%,100%患者的PSA下降超过90%以上;可以有效降低肿瘤负荷、减少精囊侵犯,达到有效的术前缩瘤和降期效果;同时1年无生化复发率也有改善趋势。因此,叶教授团队将进一步扩大研究样本量,以期改善局部晚期极高危前列腺癌预后、积累治疗经验,使我国的前列腺癌诊治达到国际先进水平。
 
专家简介
 
 
张海梁教授
 
医学博士,复旦大学附属肿瘤医院泌尿外科副主任医师。现任上海市泌尿外科学会肿瘤学组秘书、上海市泌尿外科学会青年学组委员、中国抗癌协会泌尿微创学组副组长,《Journal of Clinical Oncology》中文版泌尿分册编委。
 
长期从事泌尿系统肿瘤的临床诊治与基础研究工作,尤其擅长肾癌的临床和基础研究。近年来在国内外学术期刊发表论文40余篇,其中SCI期刊论文22篇,国内权威核心期刊论文20余篇。作为课题负责人主持国家科学自然基金1项,上海市自然基金面上项目1项。以第二完成人获上海市科技进步一等奖1项,教育部科技进步一等奖1项,中华医学科技奖二等奖1项,参与获得国家科技进步一等奖1项。

本内容仅供医学专业人士参考


EAU18|前列腺癌

分享到: 更多