当前位置:肿瘤瞭望>资讯>研究>正文

科研速递丨前列腺癌患者确诊后进行体力活动,能够改善哪类治疗(手术or放疗)的生存率?

作者:肿瘤瞭望   日期:2025/8/28 11:28:03  浏览量:7190

肿瘤瞭望版权所有,谢绝任何形式转载,侵犯版权者必予法律追究。

大量研究表明,体力活动与前列腺癌进展和死亡风险之间存在反比关系。然而对于体力活动对前列腺癌治疗的影响,目前研究较少。近期一项研究分析了二者之间的关系,结果发现,接受手术的患者如果在诊断后进行任何积极的体力活动,其无病生存事件的可能性比未接受体力活动治疗的患者低61%(HR=0.39)。相反,放疗患者并未从诊断后积极的体力活动治疗中获益(HR=1.14)。

编者按:大量研究表明,体力活动与前列腺癌进展和死亡风险之间存在反比关系。然而对于体力活动对前列腺癌治疗的影响,目前研究较少。近期一项研究分析了二者之间的关系,结果发现,接受手术的患者如果在诊断后进行任何积极的体力活动,其无病生存事件的可能性比未接受体力活动治疗的患者低61%(HR=0.39)。相反,放疗患者并未从诊断后积极的体力活动治疗中获益(HR=1.14)。
 
研究背景
 
既往的肿瘤治疗可能会改变肿瘤的生物学特性、微环境和/或位置,从而改变运动对肿瘤预后的影响;此外,运动也可能改变肿瘤的上述特征,并可能影响后续治疗的疗效。因此,治疗的组合和顺序是临床肿瘤学中的关键问题之一,但在运动肿瘤学研究中尚未得到充分研究:大多数关于运动和治疗疗效的观察性研究并未探讨运动如何与不同的治疗和组合相互作用。
 
研究方法
 
研究者对加拿大阿尔伯塔省830名新诊断的前列腺癌男性队列研究进行了二次分析。诊断前体力活动的评估通过确诊后不久的面对面访谈进行,而诊断后体力活动的评估则通过面对面访谈(第一次随访)或自我报告(第二次和第三次随访)进行,间隔2-3年。采用Cox比例风险回归模型检验体力活动与治疗方式在无病生存期、总生存期和前列腺癌特异性无病生存期之间的相互作用。
 
研究结果

患者特征
 
手术组确诊年龄中位数为64岁,放射治疗组为69岁。两组的中位BMI均为27.7 kg/m2。手术组(80.8%)和放射治疗组(80.3%)的大多数患者均为II期。手术组分别有2.9%和35.9%的患者接受了放疗和内分泌治疗。放射治疗组分别有1.9%和75.4%的患者接受了手术和内分泌治疗。手术组确诊后高强度体力活动中位数为0.4小时/周/年,放射治疗组为0.0小时/周/年。
 
▽2002-2014年前列腺癌队列研究的患者特征(按诊断后体力活动和主要治疗进行分组)
 
体力活动与无病生存期的相关性
 
诊断后积极体力活动与手术(P<0.001)和放射治疗(P=0.003)之间存在显著的相互作用。在接受手术的患者中(n=245),与诊断后未进行积极体力活动的患者相比,积极体力活动的患者复发、进展、第二肿瘤或死亡的发生可能性降低了约60%(HR=0.39)。在未接受手术的患者中(n=585),诊断后积极体力活动的无病生存期无统计学显著差异(HR=1.00)。
 
在未接受放射治疗的组中(n=464),与诊断后未进行积极体力活动的患者相比,进行积极体力活动的患者复发、进展、第二癌症或死亡的发生可能性降低了约35%(HR=0.64)。在接受放射治疗的组中(n=366),积极体力活动的无病生存率无统计学显著差异(HR=1.14)。
 
▽前列腺癌患者诊断前和诊断后的体力活动与治疗方式的无病生存期分析
 
不同体力活动与前列腺癌特异性无病生存的相关性
 
诊断后休闲性体力活动(P=0.040)和高强度体力活动(P<0.001)与手术存在显著的相互作用。在接受手术的患者中,诊断后进行超过13代谢当量的小时/周/年的休闲性体力活动或高强度体力活动的患者发生前列腺癌相关事件的可能性分别降低了54%(HR=0.46)和62%(HR=0.38)。在未手术组中,基于体力活动水平的差异无统计学意义。
 
诊断后高强度体力活动也与放射治疗存在统计学显著的相互作用(P=0.012)。接受放射治疗的患者,高强度体力活动水平与前列腺癌特异性无病生存率无显著差异。在未接受放射治疗组中,诊断后进行高强度体力活动患者的前列腺癌相关事件发生的可能性降低29%(HR=0.71)。
 
▽诊断前后的体力活动与前列腺癌特异性无病生存率之间的相关性
 
诊断前总体力活动与内分泌治疗存在统计学上边缘显著的相互作用(P=0.049),未发现其他显著关联。
 
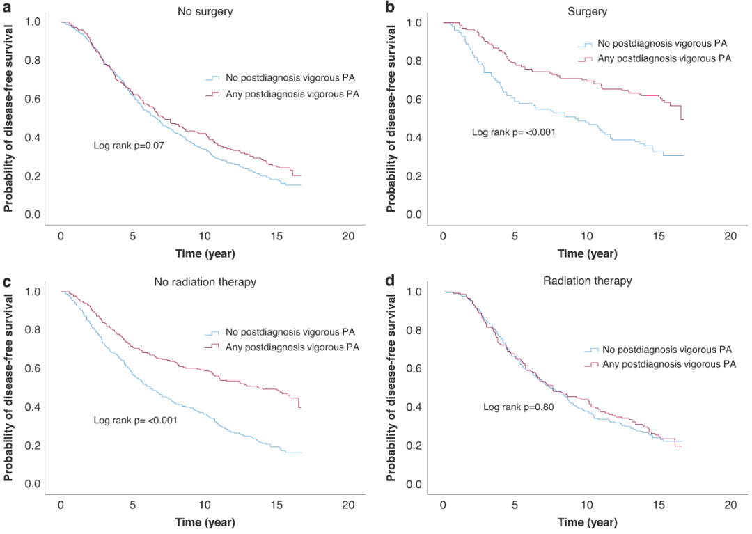
在接受手术的患者中,诊断后进行任何或无剧烈体力活动患者的无病生存率存在显著差异(57.9%vs 32.0%,P<0.001),但在未接受手术的患者中则无此差异(23.2%vs 17.1%,P=0.07)。在诊断后进行剧烈体力活动的患者中,诊断后无剧烈体力活动患者的无病生存率存在显著差异(46.2%vs 17.7%,P<0.001),但在接受放射治疗的参与者中则无此差异(23.0%vs 23.4%,P=0.80)。
 
△前列腺癌患者确诊后进行剧烈体力活动与无病生存期之间的相关性(a:无手术;b:手术;c:无放射治疗;d:放射治疗)
 
对于前列腺癌特异性无病生存率,手术组诊断后恢复期(73.2%vs 58.3%,P=0.010)和诊断后活跃期体力活动(73.8%vs 57.0%,P=0.002)存在显著差异,而非手术组则无此差异。放射治疗组无差异(50.7%vs 58.4%,P=0.31),但诊断后活跃期体力活动在非放射治疗组中存在显著差异(63.3%vs 50.6%,P<0.001)。
 
△诊断后休闲体力活动与前列腺癌特异性无病生存间的相关性(a:无手术;b:手术)
 
△诊断后剧烈体力活动与不同治疗方式前列腺癌特异性无病生存间的相关性(a:无手术;b:手术;c:无放射治疗;d:放射治疗)
 
研究结论
 
综上所述,确诊后进行体力活动,尤其是剧烈体力活动,与接受手术而非放射治疗的前列腺癌患者的预后改善相关。该结论需要进一步的临床研究和观察性研究来证实这一发现,并分析可能的机制和解释。
 
▌参考文献:
 
An K Y,Jeon J Y,Arthuso F Z,et al.Postdiagnosis physical activity is associated with improved survival in prostate cancer patients treated with surgery but not with radiation therapy:Epidemiology[J].British Journal of Cancer,2025:1-9.

本内容仅供医学专业人士参考


前列腺癌

分享到: 更多